Упр.680 ГДЗ Макарычев Миндюк 8 класс (Алгебра)
Решение #1
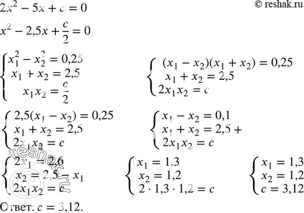
Решение #2
Решение #3

Рассмотрим вариант решения задания из учебника Макарычев, Миндюк, Нешков 8 класс, Просвещение:
680. Разность квадратов корней уравнения 2x2 - 5х + с = 0 равна 0,25. Найдите с.
*размещая тексты в комментариях ниже, вы автоматически соглашаетесь с пользовательским соглашением