Упр.678 ГДЗ Макарычев Миндюк 8 класс (Алгебра)
Решение #1
Решение #2
Решение #3

Рассмотрим вариант решения задания из учебника Макарычев, Миндюк, Нешков 8 класс, Просвещение:
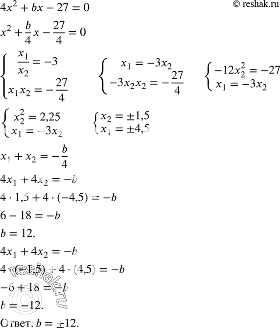
678. Частное корней уравнения 4x2 + bх - 27 = 0 равно -3. Найдите b.
*размещая тексты в комментариях ниже, вы автоматически соглашаетесь с пользовательским соглашением