Упр.9.24 ГДЗ Мордковича 11 класс профильный уровень (Алгебра)
Решение #1
Решение #2(записки учителя)
Решение #3(записки школьника)

Рассмотрим вариант решения задания из учебника Мордкович, Семенов 11 класс, Мнемозина:
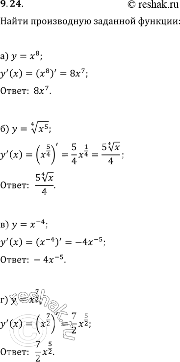
9.24. Найдите производную заданной функции:
а) у = х8;б) у = корень 4 степени x5 ;в) у = х-4;г) у = X7/2
*размещая тексты в комментариях ниже, вы автоматически соглашаетесь с пользовательским соглашением