Упр.28.10 ГДЗ Мордкович 10-11 класс (Алгебра)
Решение #1
Решение #2

Рассмотрим вариант решения задания из учебника Мордкович, Семенов 11 класс, Мнемозина:
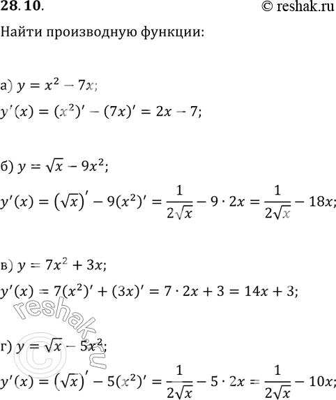
28.10 Найдите производную функции:
а) у = х^2 - 7х;
б) у = корень(x) - 9х^2;
в) у = 7х^2 + Зх;
г) у = корень(x) - 5х^2.
*размещая тексты в комментариях ниже, вы автоматически соглашаетесь с пользовательским соглашением