Упр.26.13 ГДЗ Мордкович 10-11 класс (Алгебра)
Решение #1
Решение #2

Рассмотрим вариант решения задания из учебника Мордкович, Семенов 10 класс, Мнемозина:
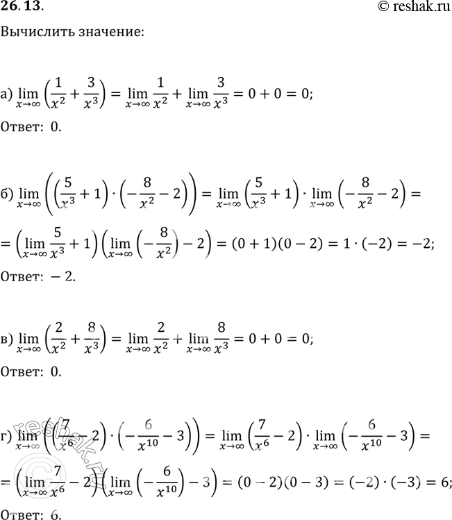
26.13 Вычислите:
a) lim (1/x^2 + 3/x^3);
x -> бесконечность
6) lim (5/x^3 + 1) * (-8/x^2 - 2);
x -> бесконечность
РІ) lim (2/x^2 + 8/x^3);
x -> бесконечность
Рі) lim (7/x^6 - 2) * (-6/x^10 - 3).
x -> бесконечность
*размещая тексты в комментариях ниже, вы автоматически соглашаетесь с пользовательским соглашением