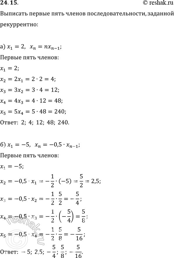
Упр.24.15 ГДЗ Мордкович 10-11 класс (Алгебра)
Решение #1
Решение #2

Рассмотрим вариант решения задания из учебника Мордкович, Семенов 10 класс, Мнемозина:
24.15
а) x1 = 2, xn = nx(n-1);
б) x1 = -5, xn = -0,5 * x(n - 1);
в) x1 = -2, xn = -x(n - 1);
г) x1 = 1, xn = (x(n - 1))/0,1.
*размещая тексты в комментариях ниже, вы автоматически соглашаетесь с пользовательским соглашением