Упр.593 ГДЗ Алимов 10-11 класс (Алгебра)
Решение #1
Решение #2

Рассмотрим вариант решения задания из учебника Алимов, Колягин, Ткачёва 10 класс, Просвещение:
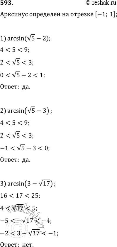
593 Выяснить, имеет ли смысл выражение:
1) arcsin (корень 5 - 2);
2) arcsin (корень 5 - 3);
3) arcsin (3- корень 7);
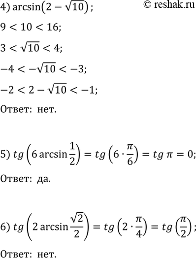
4) arcsin (2 - корень 10);
5) tg(6 arcsin1/2);
6) tg(2arcsin корень 2/2).
*размещая тексты в комментариях ниже, вы автоматически соглашаетесь с пользовательским соглашением