Упр.1275 ГДЗ Алимов 10-11 класс (Алгебра)
Решение #1
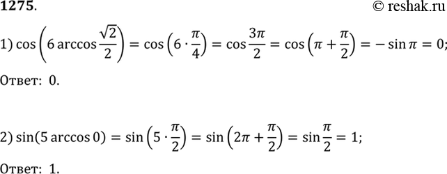
Решение #2

Рассмотрим вариант решения задания из учебника Алимов, Колягин, Ткачёва 11 класс, Просвещение:
1275 1) cos(6 arccos корень 2/2);
2) sin(5arccos0).
*размещая тексты в комментариях ниже, вы автоматически соглашаетесь с пользовательским соглашением