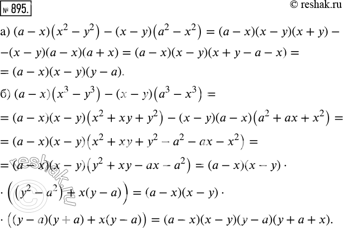
Упр.895 ГДЗ Дорофеев Суворова 7 класс (Алгебра)
Решение #1

Рассмотрим вариант решения задания из учебника Дорофеев, Суворова, Бунимович 10-11 класс, Просвещение:
895 а) (а - x)(x2 - у2) - (x - у)(а2 - х2);
б) (а - x)(x3 - у3) - (х - у)(а3 - x3).
*размещая тексты в комментариях ниже, вы автоматически соглашаетесь с пользовательским соглашением