Упр.6.32 ГДЗ Мерзляк 11 класс Углубленный уровень (Алгебра)
Решение #1

Рассмотрим вариант решения задания из учебника Мерзляк, Номировский, Поляков 11 класс, Вентана-Граф, Просвещение:
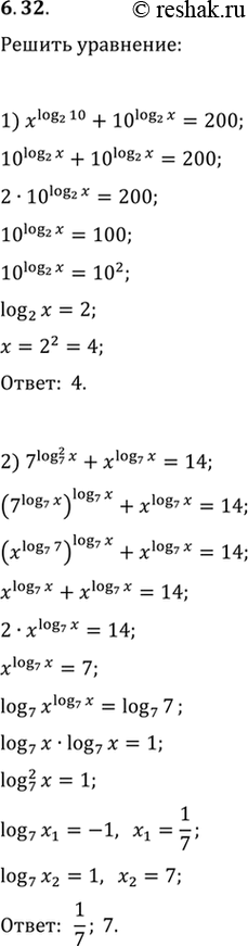
6.32. Решите уравнение:
1) x^log_2 10+10^log_2 x=200; 2) 7^(log_7 x)^2+x^log_7 x=14.
*размещая тексты в комментариях ниже, вы автоматически соглашаетесь с пользовательским соглашением