Упр.515 Рабочая тетрадь №3 ГДЗ Мерзляк Полонский 6 класс (Математика)
Решение #1

Рассмотрим вариант решения задания из учебника Мерзляк, Полонский, Якир 6 класс, Вентана-Граф:
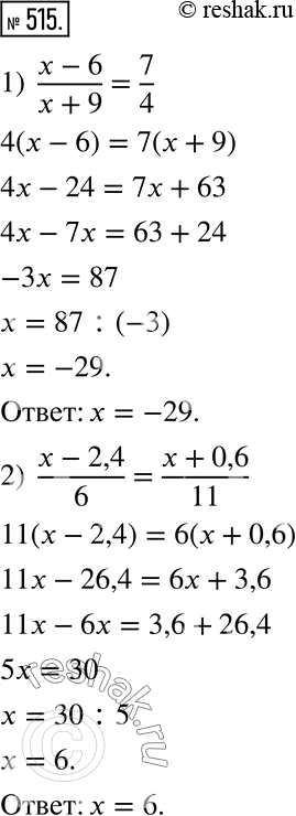
515. Найдите корень уравнения.
1) (x-6)/(x+9) = 7/4; 2) (x-2,4)/6 = (x+0,6)/11.
*размещая тексты в комментариях ниже, вы автоматически соглашаетесь с пользовательским соглашением