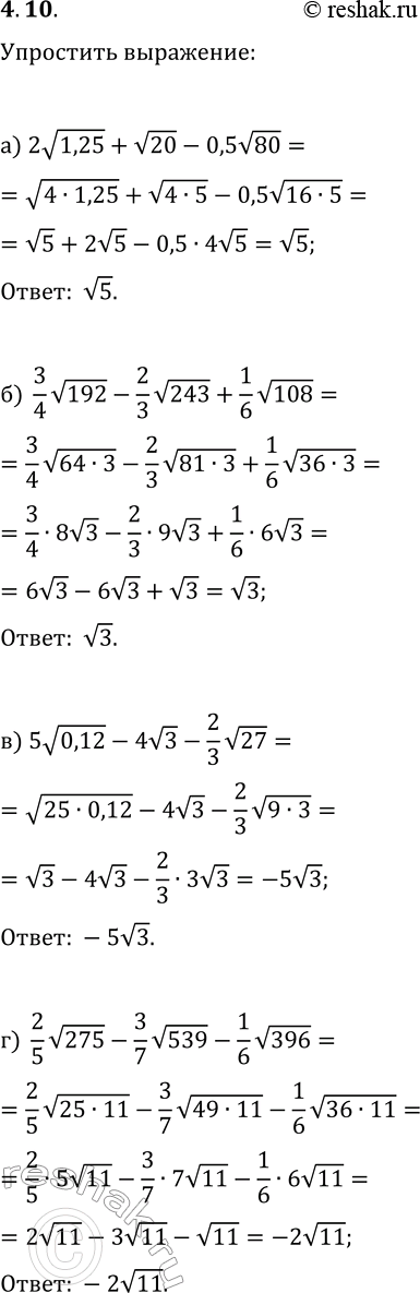
Упр.4.10 ГДЗ Мордкович Семенов 9 класс (Алгебра)
Решение #1

Рассмотрим вариант решения задания из учебника Мордкович, Семенов, Александрова 9 класс, Бином:
4.10. Упростите выражение:
а) 2v1,25+v20-0,5v80;
в) 5v0,12-4v3-(2/3)v27;
б) (3/4)v192-(2/3)v243)+(1/6)v108;
г) (2/5)v275-(3/7)v539-(1/6)v396.
*размещая тексты в комментариях ниже, вы автоматически соглашаетесь с пользовательским соглашением