Упр.380 ГДЗ Зубарева Мордкович 6 класс ФГОС (Математика)
Решение #1

Рассмотрим вариант решения задания из учебника Зубарева, Мордкович 6 класс, Мнемозина:
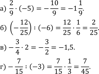
380. Вычислите:
а) 2/9•(-5);
б) (-12/25) :(-6);
в)-3/4•2;
г)-7/15 :(-3).
*размещая тексты в комментариях ниже, вы автоматически соглашаетесь с пользовательским соглашением