Упр.244 ГДЗ Дорофеев Суворова 7 класс (Алгебра)
Решение #1

Рассмотрим вариант решения задания из учебника Дорофеев, Суворова, Бунимович 10-11 класс, Просвещение:
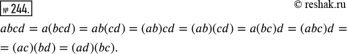
244 Запишите с помощью букв и скобок несколько разных способов вычисления произведения четырёх чисел. Ответ запишите в виде цепочки равенств.
*размещая тексты в комментариях ниже, вы автоматически соглашаетесь с пользовательским соглашением