Упр.18 ГДЗ Колягин Ткачёва 11 класс (Алгебра)
Решение #1
Решение #2

Рассмотрим вариант решения задания из учебника Колягин, Ткачёва, Фёдорова 11 класс, Просвещение:
Найти наименьший положительный период функции (18— 19).
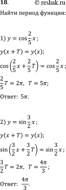
18. 1) y= cos2/5x;
2) y=sin3/2x;
3) y=tgx/2;
4) y=|sinx|.
*размещая тексты в комментариях ниже, вы автоматически соглашаетесь с пользовательским соглашением